|
28. 6. 2005
Ku konvergencii ČR a SR skutočne dochádzapolemika s článkem Andreje Sabliče "Európsky tiger z matematického bublifuku"
Pobavil ma článok od Andreja Sabliča, v ktorom sa nás snaží presvedčiť že Slovensko nieje tiger ale naopak brzdou v EU a argumentuje absolútnymi číslami. Podľa jeho čísel to vyzerá tak, že sa rozdiel v HDP ČR a SR v parite kúpnej sily zväčšuje. To je spôsobené tým že ČR vychádza z väčšieho základu, a tak stačí menší rast k dosiahnutiu vysokého absolútneho prírastku. Ono však ku konvergencii ČR a SR skutočne dochádza a bude dochádzať za predpokladu vyžšieho rastu HDP v SR v porovnaní s ČR. Túto skutočnosť je možné matematicky dokázať. Z tohoto dôvodu je možné Andrejov článok označiť za demagógiu. |
|
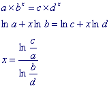
Vychádzam z jednoduchej rovnice:
Nech a, c > 0, b, d > 1 Riešením rovnice je x - čas za ktorý dôjde ku konvergencii. Vzhľadom na komutativitu je možné usporiadané dvojice (a,b) a (c,d) zameniť vo výslednom vzorci. Pri porovnaní ČR a SR dôjdeme k nasledujúcim číslam: Po dosadení údajov o HDP v parite kúpnej sily na hlavu z Eurostatu za rok 2004 pre ČR a SR - 15700 za c, 1.039 za d ,11600 za a, 1.055 za b, dostaneme že x = 20 Teda za predpokladu že pomer medzi rastom HDP ČR ku SR zostane zachovaný, dôjde ku konvergencii za 20 rokov. Výpočet nebral do úvahy možné zmeny rýchlosti rastu HDP. Z dôvodu nemožnosti urobiť presnú predpoveď rastu HDP na desaťročia dopredu, tento výsledok nemožno zaručiť. To či ku konvergencii vôbec dôjde nezávisí na základe, ale iba na raste. Ďalšia dabuľka uvádza HDP v parite kúpnej sily na hlavu v roku 2004 z ktorej som vychádzal pri ďalších výpočtoch. Údaje sú získane zo stránky Eurostatu.
Konvergencia ČR, SR a UK. Tabuľka udáva HDP o zadaný počet rokov za predpokladu rastu uvedeného v predchádzajúcej tabuľke.
Z grafu konvergencie vyplýva že ku konvergencii ČR a SR by mohlo dôjsť v horizonte ~20 rokov za predpokladu zachovania pomeru medzi rastom HDP v ČR, SR.
Ak by v nasledujúcich rokoch došlo k tomu že by sa pomer medzi rastom HDP SR ku ČR zmenšil, graf by vykazoval maximum o niekoľko rokov neskôr. V horizonte niekoľkých rokov by sa rozdiel HDP v PPS v ČR a SR zväčšoval až by dosiahol maximum, následne by sa však rozdiel začal zmenšovať. Túto skutočnosť by bolo možné pozorovať napr. ak by rast HDP v ČR bol 4.4%. Eurostat však uvádza za rok 2004 rast 3.9% a Český štatistický úrad 4.0%. Ostáva pre mňa záhadou, odkiaľ získal Andrej Sablič údaj o raste HDP ČR 4.4%. Pravdepodobne vychádzal zo starších údajov. Tiež je zvláštne, že uvádza HDP v parite kúpnej sily, avšak za číslom uvádza jednotku EUR namiesto PPS. Je potrebné aby SR a ČR dohnali priemer EU15 čo v najkratšom čase. Na to je potrebné dlhodobo dosahovať vysoký rast HDP a to i za cenu obmedzenia sociálnych istôt, pretože ako z grafov vidno, rast HDP okolo 4% nieje dostačujúci. |


